刘永济:读词应知的各项

作者:刘永济   2018年08月20日 11:03  程门问学    691    收藏

编者按:

本文为刘永济先生《微睇室说词》一书的“小引”,是他解读词作的基本纲领。分为四个部分:

壹 / 简述宋词声律溯源的总结

贰 / 略谈词家用典的问题

叁 / 词家用字法举例

肆 / 词调结构及声律的组成与作法

《微睇室说词》主要以解读吴文英词为主,举一反三,指导读者赏析和填词。其要领即在此文中。原文虽长,但很值一读。


微信图片_20180813153749

刘永济先生与《微睇室说词》


一九六〇年秋,武汉大学中文系古典文学教研室青年教师约我讲南宋婉约派词,因为这一派词家讲究修辞,艺术技巧很高,不曾熟谙古典文学艺术技巧的人读起来是很不容易理解的。其中尤以吴文英的梦窗词从来号称难读。大家希望我以梦窗词为重点,试图由其艺术性入手以求达到理解其思想感情,藉以学习古典文学的艺术技巧,或于从事现代文学创作有些益处。


我接受了这一工作。细加考虑,如何方能完成任务?我对于宋词虽然有些研究,历年虽曾教授宋词,却对于太艰深不易理解的词,常放弃不选来讲。因为宋词佳者多,不必取此类词,而且太艰深的词于初学者无大益处。今为学习古典文学艺术技巧计,青年教师们既希望以梦窗词为重点,我也可藉此将吴词细读。但这可说是攻坚的工作,因为要讲授,就与个人自己欣赏不同。自己欣赏,遇着难于理解的,常常用陶潜“不求甚解”或杜甫“读书难字过”的话自恕了。


我决定细研梦窗词后,即写成讲稿,定名为《微睇室说词》。亦仿陈洵《海绡翁说词》例也。曰微睇有二义:一、我近年患白内障,目力渐减,微睇即微明之意。二、我研习宋词,虽用力甚久,而所得甚浅,微睇又即浅见之意。二字虽出屈赋而用意有别。复次,既说梦窗词,不可不将其前后同源异流之词,略加诠释,以明此派渊源所自及流衍所至。故于周邦彦、姜夔、史达祖、周密、王沂孙、张炎各家,亦择取其主要各首略说之,未能详也。


从文艺理论来说,艺术技巧不能脱离思想感情,它是为表达思想感情而设的,那末艺术手段愈高,思想感情必然表达得愈明,何以吴文英的词反而难以理解呢?我想吴词之所以难读,不外三个原因,而时代背景与社会影响尚不在内。(这是属于论世的事,一般说来,论世比知人较易。)三个原因如下:吴文英的生平事迹及其学术思想,缺乏传记,又无诗文可以参考,因而他的词是为了什么而写的不易摸索,此其一。他的艺术手段高,但有时过于修饰,反而掩蔽了思想感情,此其二。还有古人的生活习惯有时与今人不同,我们不知,便对于他的作品有不能理解之处,此其三。(此外读者不曾作过词,缺少习作经验,也是原因之一。)我们对于一种文学作品,如果遇有上举这些情况,那就姑且就其词中所说的什么先看清楚,这就是先去了解他遣词琢句的艺术技巧,了解他所用的典故,然后再从而追求他为什么要这样说,为什么要用这些典故?因为每一作家必然先有了思想感情,然后用词句来表达,有时还须凭借些典故使不易直接表达的思想感情从而显露出来,也有时是为增加词的色泽而用的。这样读去,或许可以得其彷佛。兹先将读词应知的各项,简述于后。


/ 简述宋词声律溯源的总结


我曾为求宋词声律的源流,乃从汉魏古诗、永明新体诗、唐律,直至宋词的长调,作了一番检查,得下列各条结论,今简述之于下:


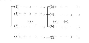
一、从检查汉魏古诗、永明(齐武帝年号)新体诗及唐律,得排列平仄的方式四种:


第一,单句与单句相重间双句,双句与双句相重间单句,其式如下:


微信图片_20180813153954


因其连续而下,故名之曰连续式。(按此无全式者,因古诗声律本非所重也。此式乃援下三例以意补足者。)


第二,亦单句与单句相重间双句,双句与双句相重间单句,但分为两组,1234句为一组,5678句另为一组,其式如下:


微信图片_20180813153957


因其分为两组,故名之曰分组式。


第三,亦单句与单句相重间双句,双句与双句相重间单句,但1278句为一组,3456句另为一组,与前不同,其式如下:


3


因其1278一组中抱3456一组,故名之曰合抱式。


第四,亦单句与单句相重间双句,双句与双句相重间单句,但1234句与5678句交互组成,又与前二式不同,其式如下:


4

因其交互组成,故名之曰交互式。


二、从检查永明新体诗及唐律,除上列四正式外,复参互配合,得十二复式(详我所作《宋词声律溯源》一书,兹不具列)。此十二复式可包括不合于四正式的诗,此外尚有半合半否之式,在律诗未成定型时常有此式,盖系残式,而单句与单句相重间双句,双句与双句相重间单句,则是共同的规律。


三、从检查唐律中,可知唐人五、七言律诗最通用之式为四正式中的交互式。此式在唐律中几成定型,在唐五代小令及宋词之长调,如《莺啼序》长至二百四十字者亦不出此式。(但词与诗句法有别,词中一调分两段,前段中某几行必与后段中某几行声律相合,非每行皆相合,(词如以每韵为一行横写,则句之长短,声之平仄,容易看出。但小令亦有每行皆合者。)其详见我所作《宋词声律溯源》一书。)唐诗人用交互式时,尚多变化,详见后论词调的声律组成条。


四、唐五代宋词见收于万树《词律》者,为调六百六十,为体一千一百八十;见收于徐本立《词律拾遗》者,为调一百六十五,为体四百九十五,两家合计共得八百二十五调,一千六百七十五体。根据初步检查,此一千六百七十五体词,前后段平仄排列方式全合者三百一十;有合有不合者八百七十三,其中绝大多数是以交互式为主要方式,通首无平仄相合之声律者,亦有极少数。此其故有四,即或系古调讹误,或由词人新制之调,(姜白石自制曲《长亭怨慢·序》曰:“予颇喜自制曲,初率意为长短句,然后协以律,故前后阕(词家称词一首为一阕,又称一阕之前后段为前后阕)多不同。”)或因嘌唱家(不依节度而唱词者为嘌唱家)传唱时有所增减的字,(沈义父〔伯时〕《乐府指迷》曰:“古曲谱多被教师改换,亦有嘌唱一家,多添了字。”柳永的《乐章集》最难考订,有同一调而字句多少、声律平仄全异者,或即嘌唱之故,因柳词在当时最为人所喜唱也。)或出于民间新声,为不谙宫调者任意所作。


五、从检查声律,可知凡词一调有一调之声情。因名家制调定谱,皆煞费苦心,大扺调声必与人情切合,然后可以表达人心各种情感。此如史达祖的《寿楼春》词,乃其自制以悼亡者,其词声情沈抑,有连用四阳平之句曰:“算玉箫犹逢韦郎。”“犹逢韦郎”四字皆阳平,其声低沉,恰与其悲悼之情切合。举此一例,以概其余。但词人亦有用调不切合情者,不可为法。后人见史词调名有“寿”字,遂用为祝寿之词,则更错了。


六、从检查声律,有助于校勘工作。如遇一调中有不合声律之处,便知字句有误。例如吴文英的《莺啼序》第三段“水乡尚寄旅”句,应与第四段“叹鬓侵半苎”句声律一致,为仄仄平去上,今不合知其必有一误,如将第三段此句改为“尚水乡寄旅”,则意不变而律合了。其他如衬字、脱字、误字、分段之误,皆可从声律检查中校正之。


七、从检查声律,可知词中去、上二声因唱腔相反,分别当严(去声从高而低,上声从低而高,唱时要分别清楚故也),一也;入可代平、上、去,二也;上声可代平,不可代去,三也;平声字连用,当以阴阳声相间相重为准,四也(如因情调关系,必须连用同声字,如前举史达祖《寿楼春》词,则不在此例);有必用平、用上、用去、用入者,当知分别,五也;有短韵(即二字一韵者)须照填,六也;有句中韵者,不可忽略,七也;有当用双声或叠韵者,必须照填,八也;除上各项外,词中平仄有可互换者,不必字字严守古词四声,九也。(词句中单数字往往可以互换处,其理与诗相同。诗家有“一、三、五不论,二、四、六分明”之说,盖五、七言律句之声律,其用为调协之关键在偶数字,其故与诗句押韵之理相似。因一字有发声与收韵之异,而押韵则必以收韵同部之字相协,不以发声。五、七言律句中之偶数字,等于一字之收韵,其奇数字则等于一字之发声。故作律句声律调协之用者在偶数字,亦如押韵之用收韵也。倘此有关声律调协之偶数字而任意换其平仄,则必与相关、相重之理不合,亦如诗句之韵脚,本用平声某部字,而忽杂以仄声某部字,其不可也明矣。但当我考索二、四、六必分明之故时,以为五、七言律句之组织,不外二或三个两字合成之词加一单字,因之与二或三个两字合成之声加一单声,两两相配,举七言律句“秦时明月汉时关”为证,曾著一文论之。然此说但合于五言之“二、二、一”或七言之“二、二、二、一”句法,不能适用于五言之“二、一、二”或七言之“二、二、一、二”句法,故如“群山万壑赴荆门”即不合此例。盖“赴荆门”为“一、二”,而“赴荆”二字非可曰二字合成一义之词也。因之其说偏而不全,不能作为一种定律,不如但以单、偶字为说,以单数字当发声,偶数字当收韵,不与两字合成一义之词相关。盖欲说明二、四、六何以必分明之理,舍此尚无别法,今姑存此说,以待识者。)


/ 略谈词家用典的问题


词家抒情摅思有白描设色两种方法。白描者,纯用朴素的语言直接表达情思,设色则与之相反,不直接表达而用典出之。

用典有用古事用成语两项。用古事的主旨在于以古事表今情,用成语的主旨在于借古语达今思。二者皆可以增加语词的力量与色泽,有时且可以表达难言之情和幽深之思。二者皆是以少字明多意。刘勰《文心雕龙·物色》篇形容文人描绘物色有“以少总多,情貌无遗”八字,今藉以说明词家用典的道理是很恰当的。

用古事包括用事隶事两项。用事是取与我情思相合的古事用之,以求得到表达我情思更加分明和有力的效果。隶事则但将古事之隶属于本题者用之,使语词的色泽加倍秾丽而已。

用成语亦包括取义借字两项。取义是取古语含义可表明我情思者用之,以求作到以少字明多意的效果。借字则但取古书中字面美丽的字,藉以增加我语词的色泽的浓度。

用事与隶事,取义与借字,在词家虽属常有的事,但用事与取义比隶事与借字重要而艰难,盖必读书多、记诵熟方能得着恰好的事与义供我使用。刘勰在《文心雕龙·事类》篇也论到这点。他说:“事类者,盖文章之外,据事以类义,援古以证今者也。”又曰:“明理引乎成辞,征义举乎人事。”这是说引成语主要是“明理”,用古事主要是“征义”,二者皆有“援古以证今”的意思。他又曰:“文章由学,能在天资。才自内发,学以外成。有学饱而才馁,有才富而学贫。学贫者迍邅于事义,才馁者劬劳于辞情。”这是说用古事与成语,既须有文学的才能,又贵于有丰富的学识。这事之非易可知了。

词家用事又比取义为难。刘勰在《丽辞》篇中说:“偶辞胸臆,言对所以为易也;征人贵学,(原作“之学”,今校改。)事对所以为难也。”这里所谓“言对”,是用成辞作对句,“事对”则是用古事。用古事必须博学,否则不能恰当。作者用古事如此为难,读者于词家用事,有时亦不易明了,因用事除须博学以外,在用的时候还有问题。词家用事,必因情思有不易直达的,或嫌于质实,或过于显露,或有难言之隐,乃取古事用之。读者由其所用之事,进而追求其用此事的命意所在,然后方能得其情思的真相,此其一。再者,作者用古事,系节取其中与其情思相合之一点用之,而非全用也。读者最好先熟悉作者的生平事迹,或其时的历史背景,然后方能知其用事的主旨,此其二。

今取王安石的《千秋岁引》一词为例说明之。王词曰:


别馆寒砧,孤城画角。一派秋声入寥廓。东归燕从海上去,南来雁向沙头落。楚台风,庾楼月,宛如昨。

无奈被些名利缚。无奈被他情担阁。可惜风流总闲却。当初漫留华表语,而今误我秦楼约。梦阑时,酒醒后,思量着。


这词前半阕但写眼前所见、所闻的景物,而以“楚台风、庾楼月”两故事,将古人欣赏风月的地方用来引起下半阕“风流总闲却”的意思,以见风月“宛如昨”而我却不能欣赏。“楚台”是用宋玉《风赋》:“楚襄王游于兰台之宫……有风飒然而至,王乃披襟而当之曰:‘快哉此风,寡人所与庶人共者邪!’”“庾楼”是指武昌南楼。“月”是指庾亮镇武昌时,中秋夜登南楼赏月的故事。下半阕换头两句是白描语。一句是说自己为名利所束缚,不得自由,乃自谦的意思,其实是指自己的功业。一句是说自己为神宗所信任,不能摆脱,乃暗指自己在相位行新法有欲罢不能之意。因此所有风流韵事“总闲却”了。其中“华表语”、“秦楼约”两故事,骤然读去,颇不易理解。但细看歇拍三句,说“梦阑”、“酒醒”的时候,“思量着”了,知其全词的主旨在此二故事。此二故事有关全词如此,则读者必须将此二故事明了,方能知其情思所在。“华表语”是用《搜神记》载辽东城门华表上,一日飞来一白鹤。白鹤忽作人语曰:“有鸟有鸟丁令威。去家千岁今来归。城郭如故人民非。何不学仙冢累累。”“秦楼约”是用《列仙传》言秦穆公女弄玉嫁给萧史,萧教弄玉吹箫。弄玉吹箫引来凤凰,二人相约骑着凤凰仙去。细看此二故事虽不同,但其中学仙与仙去两点却相同,知王氏用此二故事即节取其中学仙与仙去这两点,没有疑问。再看他于华表句中用“漫留”二字,于秦楼句中用“误我”二字,知王氏用此二故事来表达情思,全在此四字了。就词言词,我们所得的意义,似乎是说:当初空留白鹤所说的“学仙”,而今却不能如萧史、弄玉相约“仙去”,岂不是误了我。再明白地说:则是你当初空留与我同学仙去的话,而今不同我仙去,反误了我。但此种情况,我在“梦阑”、“酒醒”了以后,才“思量着”啊。

我们就词言词,即是就其词中所说的什么与词中所用的典故来言词,所得着的既如上述,但王氏为什么要这样说?为什么要用这样的典故?究竟为了要表达什么情思?则必须结合王氏生平和当时史实方能了然。王安石是厉行新法的主持者,当时在朝老一辈的人都不肯赞同,他只得引用少年人。其时有吕惠卿者,史称吕惠卿由安石引进,及王氏罢相知江宁府(神宗熙宁七年),吕惠卿参政(同年),排斥安石,恐其再入相。苏辙劾吕惠卿状云:“安石于惠卿有卵翼之恩,父师之义,胶固为一,以欺朝廷。及其权位既均,势力相轧,反眼相噬,化为雠敌。惠卿发安石私书曰:‘无使上知。’先帝由是不悦安石。”王氏此词下半阕所说,当即指此。据此,知此词之意,乃言吕惠卿当初曾与自己有约同退,今我退而吕进,不特不如前约,而且发我私书以排我。吕之为人,我在事过身退之后,方才觉察,所以他说“梦阑时,酒醒后,思量着”。安石不满于吕惠卿这种情思,不便明说出,又不能隐忍不说,所以借二故事来表达。而在用二故事的词句中,复用“漫留”、“误我”四字点明,再加歇拍九字用醒悟的意思、唱叹的口气结束,我们读来,自然知道他是有为而发了。

如上所述,文家用典的意义已明。但钟嵘著《诗品》极力反对用典,主张“直寻”。他说用典是“补假”。又说:“大明、泰始中(大明,宋孝武帝年号;泰始,宋明帝年号),文章殆同书钞。”可见钟氏反对之论,乃以救当时之弊,但不免矫枉太过,不如彦和之说通达(见前)。总之,用典本修辞之一法,如用来为了“征义”和“明理”,为了使难言之情得以表达,使词语更美、更有力,是不在禁止之列的。如果内容贫乏,或情思庸俗而专在字句、声律上用功夫,专胪列故事、成语,那就不免钟嵘所讥了。用现今的话说,就是形式主义。


/ 词家用字法举例


词家除用典来表达情思及增加语词色泽外,用字的关系还是很重要的一环。扬雄《法言》有“言,心声也;书,心画也”之文。他所谓“言”,即指文字。刘勰在《文心雕龙》中特著《练字》篇,讨论此事。他说:“心既托声于言,言亦寄形于字。讽诵则绩在宫商,临文则能归字形矣。”这是说文字乃言语之所寄以成形者,言语则情思之所托以为声者,由情思而言语、而文字,系由隐以至显,因外以符内的一项过程。诗词家为了使其所言恰如其所欲言者,往往再三斟酌,方能如意。惟大匠不示人以朴,作者的草稿,今人不得见,因而他经营的苦心,无从得知。但诗家修改字句的故事,间或流传于宋人笔记中。例如杜甫《曲江对酒》诗“桃花细逐杨花落”句,后有见其初稿作“桃花欲共杨花语”。又如王介甫诗“春风又绿江南岸”句,初作“又到”,圈去,注曰“不好”,改为“过”,又圈去,改为“入”,旋又改为“满”,如是改至十许字,始定为“绿”。又黄鲁直诗“高蝉正用一枝鸣”句,“用”字初作“抱”,又改曰“占”、曰“在”、曰“带”、曰“要”,至“用”字始定。(《杜诗详注》于“桃花”句下注曰:“蔡云:‘老杜墨迹初作“欲共杨花语”,自以淡笔改三字’。”按仇兆鳌所谓“蔡云”,乃蔡梦弼的《杜诗会笺》。介甫及鲁直诗改稿见洪迈《容斋随笔》中。)从上三例看来,诗人求其所言恰如其所欲言者,其难如此,故刘勰有“富于万篇,贫于一字”之说。因由无形的情思至形成有声的文字,本非易事。杜、王、黄三君皆唐、宋大诗家,皆对于其诗一字不苟如此,岂故为此琐屑,斤斤求形式之美邪?

词家婉约一派最讲修辞,他们对于表达情思的字句,所费的工夫必然很大,自不待言。除此以外,他们为了增加语词的色泽,还运用两种方法,即换字法与代字法。

换字法本骈文家常用的,主要是避免重复或因声律有碍,不得不换用同义异音的字。惟词家更有增加色泽的意思。因此之故,换字是以新鲜之字换去陈旧的字,以美丽之字换去平常的字。例如:


以霜丝换白发

以秋镜换秋水

以商素换秋天

以金缕换柳丝

以银浦换天河


这种换用的字最多,随处可见。但换字亦有限度,过限度反而损美。所谓限度者,不可太生僻,不可转折太多。例如秋风太平常,因“秋风为商”,(见《文选·悼亡诗》:“清商应秋至”注。)飙者,疾风也,乃换成“商飙”可也,因“商,金音,属秋”,(见《列子·汤问》篇“当春而叩商弦”注。)乃换成“金飙”,亦可也。如因秋属商,商为金音,乃换成“金商”,则生僻了。又如古称月中有蟾,因以“小蟾”作新月用可也,钩本形容新月如钩,以“玉钩”、“银钩”作新月用可也,但如刘方叔《贺新凉》词用“蟾钩”,则转折多了。姚范《援鹑堂笔记》卷五十论王安石《和文淑湓浦见寄》诗“发为感伤无翠葆”句,用“翠葆”二字曰:“因‘头如蓬葆’(四字见《汉书·燕剌王旦传》注曰:“草丛生曰葆。”)遂以‘翠葆’代绿发,不可也。”此亦太多转折了。

代字亦词家习用法,其与换字不同者,代字不但将本色字加以修饰,而且将加工设色的字代替本色字用,或是形容本色字,或是取其标志作代(标志是取某物整体中最突出的部分代整体。旧注家遇此等字,则曰此指某某)。其类别甚多,分述如下:


一、以形容词代名词用者,例如以“檀栾”代修竹,本出枚乘《兔园赋》“修竹檀栾”。吴梦窗《声声慢》“檀栾金碧”句即用此。此词“金碧”二字又系楼台的形容词,即以代楼台用。聂冠卿《多丽》词有“况东城凤台沁苑,泛晴波浅照金碧”句可证。吴词又有“婀娜蓬莱”句,“婀娜”本柳的形容词。李商隐《赠柳》诗有“见说风流极,来当婀娜时”之句,是也。他如以“绵蛮”代莺声,以“暗碧”代密叶,以“红香”代花朵,皆此类也。


二、以美丽名词代普通名词者。例如以“珠斗”代北斗,因北斗七星如联珠也;以“翠幄”代密叶,因陆机有“密叶成翠幄”之句也;以“翠葆”、“青玉斾”代新竹,葆本古时车上所张的羽盖,新竹似之,故周美成《隔浦莲近拍》词有“新篁摇动翠葆”之句,又《浣溪沙》词有“翠葆参差竹径成”句皆是。因葆又联想到斾,故周词又有“墙头青玉斾”句以代新竹。以“绣幄”代繁盛花树,则又因“翠幄”联想花多如绣。吴梦窗《宴清都》咏《连理海棠》词故有“绣幄鸳鸯柱”句,此以“绣幄”代海棠,以“鸳鸯柱”代连理树,使语词更加鲜丽。此类如以“双鸾”、“双鸳”代绣鞋,以“丁香结”代愁结,以“秋水”代秋波,以“水佩风裳”代荷花、荷叶,以“玉龙”代玉笛皆是。


三、以名词代形容词者。例如“曲尘”代柳色或水色,字本出《礼记》“鞠衣”注:“如鞠尘色。”“鞠”与“曲”二字通用。“曲尘”,乃浅绿带黄的颜色,新柳与春水色正相似,故诗词家用以代新柳色或春水色。刘禹锡诗有“龙墀遥望曲尘丝”句,即柳色,吴梦窗《过秦楼》词有“藻国凄迷,曲尘澄映”句,则水色也。又春水色亦有用“蒲桃”或“葡萄”或“蒲陶”代之者。“蒲陶”本酒名,其色正如春水,故李白《襄阳歌》有“遥看汉水鸭头绿,恰似蒲陶初酦醅”句,王沂孙《南浦》词咏《春水》有“葡萄过雨新痕”句皆是。又以“桂华”代月色,因古传月中有桂,故周美成《解语花》词咏《上元》有“桂华流瓦”句。


四、以整体中突出部分代整体者,例如以“金钗”代美人,京仲远《汉宫春·元宵十四夜作,是日立春》词有“年年烂醉金钗”句是也。以“红裙”代美人,韩愈诗有“不解文字饮,惟能醉红裙”句,与京词同。此类皆取整体中的一部分可为整体之标志者,用以代表整体。如古称月中有蟾蜍,诗词家遂取来为月之标志。其例甚多,如以“小蟾”代新月,以“嫠蟾”代孤月,以“素蟾”代白月,以“寒蟾”代凉月,以“银蟾”代明月,以“冰蟾”代冬月,其用皆同,其他标志字,可准此类推。


五、以古代今者,此有二类:一是以古人代今人;二是以古地代今地。以古人代今人者,例如以“蛮素”代侍妾,因小蛮、樊素二人乃白居易的侍妾,故吴梦窗《霜叶飞》词有“倦梦不知蛮素”之句。以“谢娘”、“秋娘”代姬妾或妓女,因李德裕姬人姓谢,德裕为作《江南曲》者也。秋娘本妓女,杜牧有《杜秋娘诗》,记其生平。以“桃叶”、“桃根”代爱妾,因王献之有迎爱妾《桃叶歌》,故李商隐诗有“桃叶、桃根双姊妹”之句。吴梦窗《风流子》词有“轻桡移花市,秋娘渡、飞浪湿溅行裙”句,又《桃源忆故人》词有“桃根桃叶当时渡”句,即用以指其去妾。以“潘郎”、“檀郎”代美少年,因潘岳美风姿,檀郎乃岳的小名曰檀奴也。以“沈郎”代清瘦之人,因沈约《与徐勉书》自叙有“百日数旬,革带常应移孔”之文,言腰围瘦减也。以“兰成”、“庾郎”代羁旅的人,因庾信使北周被羁留也。以“杜郎”代风流才人,因杜牧喜冶游,有“十年一觉扬州梦,赢得青楼薄幸名”之句也。以“玉箫”代情人,因韦皋与玉箫女约七年来娶,后八年始至,玉箫已死,故史达祖悼亡词有“算玉箫犹逢韦郎”之句。此类以不便直言今人,故以古人代之。以古地代今地者,例如“西陵”原本《苏小小歌》“何处结同心,西陵松柏下”,故以代妓女游乐之地。吴梦窗《齐天乐》词有“烟波桃叶西陵路”,即纪念旧日冶游之地而作。如桃根渡本王献之《桃叶歌》“桃叶复桃叶,渡江不用楫”,又“桃叶复桃叶,桃树连桃根”,皆言迎娶桃叶、桃根之事。吴梦窗《莺啼序》词有“记当时短楫桃根渡”,即以指旧妾所在地。如“桃溪”本刘晨、阮肇二人上天台采药,山上有桃树,山下有溪水,二人遇二仙女于此,不久思归的故事。周美成《玉楼春》词有“桃溪不作从容住”,即以指别旧欢。如“西州”本羊昙追念谢安,不忍过西州城门,一日,羊被酒不觉至西州门,乃痛哭而去的故事。张炎《甘州词》“短梦依然江表,老泪洒西州”,即用此。吴文英《西平乐慢·过西湖先贤堂》词有“细雨西城,羊昙醉后花飞”之句,则用西城。


代字虽是以另一加工的语词代一普通语词,但亦不可与本色语词相去太远,或两者缺乏联系。相去太远,则使人不易知其所代者为何。颜之推《颜氏家训·劝学篇》有记用词错误一条曰:“《罗浮山记》云‘望平地树如荠’,故戴暠诗云‘长安树如荠’。又邺下有一人咏树诗云‘遥望长安荠’……皆耳学之过也。”


按:戴诗用《罗浮山记》言长安树远望之,其小如荠。而邺下这人径用荠代树,则荠与远树之间缺乏联系,故颜氏讥为耳学。


换字与代字两种方法,虽然是诗词家常用以增加词语的色泽的,但不是没有毛病,必须既能增加色泽,又能使人不难理解,否则不免流为晦涩。晦涩则其思想感情必致为词藻所蒙蔽,反而不如用本色字的好。这其间非无适当的限度,但表达情思是否合于限度,要看作者的艺术修养而定。如作者已能合度,则读者的知识是否能够领略,便成了问题。刘勰《知音》篇有曰:“夫缀文者情动而辞发,观文者披文以入情,沿波讨源,虽幽必显。世远莫见其面,觇文辄见其心。岂成篇之足深,患识照之自浅耳。”彦和这番话对于欣赏古典文学的人,大有益处。我们不能专责备作者太艰深,必须增高自己识照的能力。昔时有人问王安石,老杜的诗颇难懂,怎么读?王答曰:“先读懂的。”王氏这话,却是最妙的办法,这正是刘氏“沿波讨源”四字的浅明解释。盖沿波而求,必有达到深源的一日,懂的读得熟,不懂的也就不难读了。所以说王氏的话是“沿波讨源”的浅明解释。


/ 词调结构及声律的组成与作法


词调虽多,论其结构,不出起调、过拍、换头、歇拍四项。其中起调与换头相当于律诗的第一句与第五句,(李东阳西涯《麓堂诗话》:“人但知律诗起结之难,而不知转语之难,第五句、第七句尤宜着力。”)此事从声律与作法讲,皆有待详论。前检查唐律多用交互式。交互者,系将八句分为两组,前组1234句必与后组5678句交互配合以成一首。但细加检查,尚有两点必须注意者:其一,律诗第一句因有押韵的关系,不能不变其声律,故其平仄的排列,往往与第五句不合。其二,律诗用交互式过于整齐,不符合既整齐又错综的美术原则,故又有时将第三句与第七句的声律变动调剂之,不令平板。今取王维《终南山》与《酬郭给事》两诗,证明前一点,又取李商隐《咏蝉》与高适《送李二少府贬潭峡》两诗,证明后一点,从而说明词调声律的构成与其作法。王维《终南山》诗曰:


太乙近天都,连山到海隅。

白云回望合,青霭入看无。

分野中峰变,阴晴众壑殊。

欲投人处宿,隔水问樵夫。


其全诗平仄如下:(以+代平声的符号,—代仄声的符号。如有应仄而平及应平而仄的,将应平应仄的符号用括号旁注之。)


微信图片_20180813160057


《酬郭给事》诗曰:


洞门高阁霭余辉,桃李阴阴柳絮飞。

禁里疏钟官舍晚,省中啼鸟吏人稀。

晨摇玉佩趋金殿,夕奉天书拜琐闱。

强欲从君无那老,将因卧病解朝衣。


其平仄如下:


微信图片_20180813160102


上两诗第一句与第五句平仄不合,其余各句则字字配合。(前首第四句第一字应仄而平,后首第二句第一字应仄而平,第四句第一字应平而仄,第三字应仄而平,依例可以通融也。)李商隐《咏蝉》诗曰:


本以高难饱,徒劳恨费声。

五更疏欲断,一树碧无情。

薄宦梗犹泛,故园芜已平。

烦君最相警,我亦举家清。


其平仄如下:


微信图片_20180813160105


这诗的第三句平仄与第七句不合。(第五句第三字与第六句第一、第三字俱系单数字,依例平仄可以互换。)高适《送李二少府贬潭峡》诗曰:


嗟君此别意何如,驻马衔杯问谪居。

巫峡啼猿数行泪,衡阳归雁几封书。

青枫江上秋天远,白帝城边古木疏。

圣代只今多雨露,暂时分手莫踌蹰。


其平仄如下:


微信图片_20180813160108


这诗除第一句因有押韵关系故与第五句不合外,第三句与第七句亦不合。(第八句第一字应平而仄,第三字应仄而平,皆单数字,可不拘泥也。)律诗声律之变,大略如此。

律诗的声律既如上述,今更从诗词声律相当之处,加以探索,便确知词体实从律诗变化而来。凡词调之起调和换头平仄相合者,相当于律诗第一句与第五句相合之式,而其不相合者则相当于律诗第一句与第五句不相合之式。词调除前后段中有平仄相合之句外,复有不相合者,(此所谓不相合之句,指非起调与换头之句。)则又相当于律诗第三句与第七句不相合之理,所谓既须整齐又要错综也。此从诗词声律相当之处言之也。如从作法言,律诗前后段每每各有重心,有时前写景、后抒情,有时相反;有时中四句皆景句或情语。(绝句的前两句和后两句的作法也与此相同。沈德潜引杨仲弘论“绝句以第三句为主而第四句发之,盛唐多与此合”。王翰《葡萄美酒》诗评。又评王昌龄“秦时明月”第三句唤得起,乃见警策。)变化虽多,大扺前后段的转折点在第五句。就词而言,换头既是相当于诗的第五句,也就是全词的转折点。因此一词的前后两段也各有重点。例如吴文英的《贺新郎·陪履斋先生沧浪看梅》词,前段全从韩世忠的沧浪亭着笔,叹息当年韩世忠恢复之功不成;后段方从陪履斋看梅另起,即其明证。然如辛弃疾《贺新郎·别茂嘉十二弟》一词,前段历数昭君出关、陈皇后谪居长门宫及《诗经·燕燕》诗“卫庄姜送归妾”三事,后段又以李陵、荆轲二事直接说下,皆人生离别苦情,换头处并不另起。但此种作法比较不多,而以换意另起者为常。(小令分两段的与长调同。)词的前段结尾名过拍,从声律言,是前段的声律到此暂歇,然后过渡到后段也。张炎《词源》论《制曲》条曰:“最是过片不要断了曲意,须要承上接下。”举姜夔《齐天乐》咏蝉词过拍“曲曲屏山,夜凉独自甚情绪”,后段接着以“西窗又吹暗雨”为证。说如此则“曲之意脉不断矣”。(过片之片乃变字的损体。)盖后段换头“西窗又吹暗雨”句仍是形容蝉声也。又如苏轼《念奴娇·赤壁怀古》词过拍曰:“江山如画,一时多少豪杰。”后段接着便将周瑜、诸葛亮的豪杰风度描写一番,然后以自己老大无成,不免美人迟暮之感作结,词意亦不断。结尾名歇拍者,声律到此便停歇也。歇拍又名毕曲者,言一曲到此完毕也。从作法言,歇拍要有“有余不尽”之意,或者就上文宕开作结,以免过于单调,或嫌索然无力。无论诗、词、曲,结尾的重要相同,曲家有“豹尾”之说,言尾要有力也。词中如苏轼《赤壁怀古》词方说到自己老大无成的感慨,接着便以“人间如梦,一尊还酹江月”宕开,自觉胸怀旷达,不至窘迫。又如王沂孙《齐天乐》咏蝉词方说到秋来“甚独抱清商,顿成凄楚”,接着就说“谩想熏风,柳丝千万缕”,一笔宕开,追想盛夏景象,以见盛衰之感,词意更显得灵活,不至为上文所束缚。词之起调,有对起、单起之分。对起者盖以两句作对以起调也;单起则以单句开端,字数无定。对起者必须对仗精工,单起则必要能笼罩全首。前者如吴文英《高阳台·落梅》词“宫粉雕痕、仙云堕影,无人野水荒湾”,后者如吴文英《齐天乐·与冯深居登禹陵》词“三千年事残鸦外,无言倦凭秋树”。但不论对起、单起,必须一起便能开门见山,方是合作。词之结尾亦有景结、情结两种,景结者以景结情,如周美成《瑞龙吟》词之“断肠院落,一帘风絮”。以情结者,以情结景也,如苏轼《水龙吟》咏杨花之“细看来不是,杨花点点,是离人泪”。又如章楶《水龙吟》此题之“望章台路杳,金鞍游荡,有盈盈泪”。二词皆以情结景,情景交融也。但亦有纯作情语而佳者,必须有一段真情,到结尾倾泻而出,如李煜《相见欢》之“剪不断。理还乱。是离愁。别是一般滋味在心头”。又如韦庄《女冠子》之“觉来知是梦,不胜悲”。又如李清照《声声慢》之“梧桐更兼细雨,到黄昏、点点滴滴。这次第,怎一个愁字了得”是也。学词当知者,大略如此。其他有关艺术技巧的,待说词时随调说明,较为便利。(我编有《词论》两卷,上卷为通论,凡词的起源流变以及声韵、乐章等属之。下卷论作法,凡学词取径、结构、抒情、咏物、敷藻设色的方法等属之,可以参看。)


>>> 录自《微睇室说词·小引》

责任编辑:苏丰雷
扫描二维码以在移动设备观看

诗讯热力榜

  1. “十佳诗人”陈姝棠——歌动青阳三万里
  2. “外卖诗人”王计兵拟获江苏省劳模:过好自己的日子,兼顾自己的热爱
  3. 浙江松阳 · 第42届青春诗会参会诗人诗选
  4. 陈碧云《听风追梦》春日出版,献给每一位追风逐梦的人
  5. 以诗赴约,与你相遇 ——《与你告别在唐朝》新书发布会成功举办
  6. 《生命的奇迹:2025年中国诗歌精选》序与目录
  7. 枕边书 | 叶延滨:我总是在观察、吸收和发现
  8. 散皮诗集《置身于别处》学术研讨会在济南举行
  9. 大海辞 | 蔡建旺《我对世界仍然充满爱意》分享会在洞头举行
  10. 第十一届中国(海宁)徐志摩微诗歌大赛征稿启事
  11. 完整榜单>>
  1. 张宏森|关于繁荣互联网条件下新大众文艺的思考
  2. “我有一个小小的愿望” ——全国青少年儿童诗歌征文大赛评选结果公示
  3. 《诗刊》社第42届青春诗会代表名单公示
  4. 诗行越山海,书香润乡土——第40届青春诗会参会诗人向云南昌宁漭水镇中心学校捐赠诗集
  5. 那拉提杯·第九届西部文学奖颁奖典礼在伊犁州新源县举办
  6. 【院士诗词展之十】张勇传诗词曲选(新韵)
  7. 诗之桥:西南交大—利兹大学中英诗歌双城诗会开幕
  8. 全国各地朗协会会长会议在京召开
  9. 顶刊《自然》今天发布:为什么顶级的科学家开始写诗了?
  10. 禅的杯子:心灵归真与语言的深渊 ——评吴撇的诗
  11. 完整榜单>>
  1. 我与新大众文艺|9个人的创作,在烟火气里又走出烟火气
  2. 第十一届中国(海宁)徐志摩微诗歌大赛征稿启事
  3. 煤矿女工来信|我与中国诗歌网这十年
  4. 2026年第十届华语诗歌春晚在京举办
  5. “十佳诗人”范月红——一马横飞万马骞
  6. 新口语诗的锋芒与存在的疼痛:刘川诗歌艺术论
  7. “诗评共赏”——《诗刊》诗词品读征文活动方案
  8. 【院士诗词展之一】丘成桐诗文选
  9. 一位大排档厨师的来信|我与中国诗歌网这十年
  10. “我有一个小小的愿望” ——全国青少年儿童诗歌征文大赛评选结果公示
  11. 完整榜单>>
  1. 《诗刊》征集广告词
  2. 清新旷达 笔底无尘——读温皓然古典诗词
  3. 玉溪元江:志愿服务队为乡村儿童思想道德建设添“诗意”
  4. 同舟共济,以诗抗疫——全国抗疫诗歌征集启事
  5. 赏析《不要温和地走进那个良夜》
  6. 关于诗和诗人的有关话题
  7. 寻找诗意 美丽人生——上海向诗歌爱好者发出邀请
  8. 中国诗歌网“每日好诗”诗人名录
  9. 以现代诗歌实践探寻现代诗歌的本原
  10. 首届“国际诗酒文化大会”征稿启事 (现代诗、旧体诗、书法、朗诵、标志设计)
  11. 完整榜单>>